AST-BD-p-tau217全国重磅首发上市
发布时间:
发布人:宇测生物市场部
阅读次数:
次
随着人口老龄化进程不断加剧,阿尔茨海默病(AD)已从个体家庭的健康负担,上升为全社会亟待应对的重大公共卫生挑战。近年来,国家密集出台老年期痴呆防控政策,着力构建"预防-筛查-诊疗-康复-照护"一体化、全链条综合防控体系。
在政策赋能、临床需求牵引与科研创新驱动的多方合力推动下,AD血液生物标志物检测技术近些年来获得持续突破,例如血液p-tau217指标已进入ATNIVS框架。值此2026年新春,宇测生物重磅推出全国首款BD-p-tau217指标检测试剂盒,以"脑源特异性"技术实现对传统p-tau217检测的全面升级。

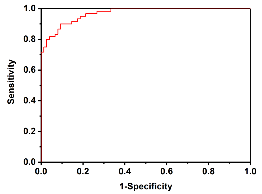
宇测生物BD-p-tau217 性能
宇测BD-p-tau217指标已积累大规模临床检测数据,试剂性能经充分验证。

其中一项临床队列研究显示(Aβ-PET阴性75例、阳性60例),Aβ-PET阳性组的血液BD-p-Tau217水平显著高于阴性组,ROC曲线AUC达0.968,表明BD-p-Tau217可准确识别脑内淀粉样蛋白沉积,是AD病理检测的高准确度血液替代标志物。
产品总结
宇测脑源性磷酸化tau蛋白217(BD-p-tau217)检测试剂盒基于自主创新的超敏单分子检测技术(SMID),可精准靶向识别并捕获穿越血脑屏障的脑源性p-tau217蛋白,实现通过检测血液来观测大脑生物标志物动态变化,显著提升检测准确性与特异性,为AD早筛早诊早预防提供更高价值的临床解决方案。